自然语言处理核心技术词嵌入(Word Embedding),从基础原理到大模型应用
为了解决这种序列到序列(sequence-to-sequence)的问题,比如机器翻译中输入输出长度不一致的情况,人们引入了编码器-解码器结构,并使用了循环神经网络(RNN)。这是标准的 Word2Vec 方法,它的核心是训练出一个“词典式”的嵌入矩阵 W,只捕捉单个词的语义。因此,机器翻译的关键在于:如何从纯文本中提取出一种通用的语义表示,使得不同语言的词可以通过这一表示实现对齐。通过前面的介绍

要让transformer模型理解每一个token,需要把词语转化为具有语义的向量(embedding)
词嵌入(Word Embedding)用于将离散的token映射到连续的向量空间,使语义相近的词在向量空间中接近

编码
基础语义单元的数字化方法及其问题
首先要搞明白一件事儿,所谓的编码和解码这个码到底是个什么码?
人工智能最典型的应用是图像识别和自然语言处理(NLP)。卷积神经网络(CNN)最早应用于图像识别,因为图像中的像素是并行结构。而语言则具有时序性,词与词之间有强先后关系,语义也与此相关。
为了解决这种序列到序列(sequence-to-sequence)的问题,比如机器翻译中输入输出长度不一致的情况,人们引入了编码器-解码器结构,并使用了循环神经网络(RNN)。RNN通过其循环结构,能够捕捉语言的时序信息。
Transformer模型虽然最初解决的是同样的问题,但它并没有延续RNN的技术路线,而是另起炉灶。不过它同样保留了编码器-解码器结构。尽管如此,已有研究表明,从数学角度看,Transformer与RNN甚至CNN在本质上是一致的。这个话题我们后续还会深入探讨。
那么,为什么无论是RNN还是Transformer,在做机器翻译时都采用编码-解码结构呢?我们可以从语言学习的本质出发来理解。
以学语言为例,我们在不懂英文的情况下学习英文,是通过实物(如“苹果”)将两种语言符号联系起来,建立语义对应。但机器无法直接接触现实世界实体,只能通过大量文本上下文来推断词语之间的语义关系。
因此,机器翻译的关键在于:如何从纯文本中提取出一种通用的语义表示,使得不同语言的词可以通过这一表示实现对齐。这就引出了“编码”的概念——即剥离语言形式差异,提取出纯粹的语义关系。
这种语义关系应满足两个条件:
-
数字化表示;
-
数值之间能体现语义相似性或关联性。
一个直观的想法是用高维空间中的向量来表示语义。例如,“香蕉”可能是一个向量 [1000],而“猴子”接近于它,原子能则离得较远。这种向量空间能够体现出语义之间的距离关系。
在实际操作中,我们常使用 tokenizer(分词器) 和 one-hot 编码 来对语言进行数字化处理。它们分别代表了两种极端方式:
- Tokenizer 将每个 token 映射为一个整数 ID,相当于投射到一维空间。这种方式信息密度高,但难以表达复杂的语义关系。
- One-hot 编码则为每个 token 分配一个独立维度,形成一个高维稀疏向量。虽然组合语义容易表示,但所有 token 彼此正交,缺乏语义相似性的表达。
两者各有优劣:一个是“高密度低维”,一个是“低密度高维”。它们都不能很好地满足我们对语义编码的两个基本要求。
所以,我们需要一种更合理的语义表示方法,既能数字化,又能反映语义之间的相对关系。这也是后来词嵌入(word embedding)等技术出现的原因。
既然如此,我们就可以考虑找一个维度适中的“中间空间”来完成语义编码与解码。这个空间通常被称为“嵌入空间”(embedding space),它既不是一维也不是极高维,而是一个折中方案。
实现这个目标有两个方向:
-
从低维升维(如基于 token ID 扩展);
-
从高维降维(如对 one-hot 编码进行压缩)。
通常选择后者,因为压缩比还原更容易控制。
空间变换与线性变换的理解及矩阵的应用
提到降维,自然想到线性代数中的矩阵乘法:一个向量与矩阵相乘,本质上就是一种空间变换。(建议去看MIT的线性代数公开课和3blue1brown视频辅助理解)
我们可以把这种运算理解为坐标系之间的转换。例如,原向量在旧坐标系下的表示,通过矩阵变换后,变成了新坐标系下的表示。
矩阵的每一列代表了新坐标系的一个基向量,而矩阵乘法就是将原向量在这个新基下的投影重新计算出来。
更进一步地,矩阵乘法不仅可用于坐标系变换,也可以看作是对向量本身的变换——比如旋转、缩放等。这种变换是线性的,意味着直线仍保持为直线,不会变成曲线。只有引入二次型(如 )时,才可能得到非线性的几何结构(如椭圆、抛物线等)。
在机器学习中,尤其是 Transformer 等模型中,这种空间变换非常关键。它可以理解为数据从原始输入空间到语义空间的一种映射过程。多个向量组成的矩阵与变换矩阵相乘,就相当于一批数据同时经历一次统一的空间转换。
需要注意的是,矩阵乘法是不可交换的,顺序不同意义也不同。这类似于函数式编程中的数据流处理:前一个矩阵是数据集合,中间矩阵是变换规则,整个过程体现了数据在一系列空间中的流动与重构。
我对“空间变换”的理解是:某个空间中的对象通过一个或一组函数映射到另一个空间中。如果这些函数都是一次函数,这种变换就是线性变换。
从几何角度看,线性变换会保持一些关键特性不变: - 原空间中不同的点,在新空间中仍是不同的点; - 共线的点仍然共线; - 平行向量仍然平行; - 向量长度可能变化,但它们的比例关系保持不变。
为了方便描述这些变换,我们引入了矩阵。矩阵本质上就是一组线性变换的系数。它不仅是一种数学形式上的简化,更重要的是它让空间变换变得直观易懂。比如通过矩阵的行列数,我们可以立刻知道变换前后空间的维度是否发生了变化。
在矩阵乘法中,前一个矩阵通常表示数据(如一组向量),后一个矩阵则表示变换规则。两者相互独立,说明变换规则不依赖于具体的数据,而是决定整个空间如何被改变。
进一步地,我们可以引入行列式来衡量方阵所代表的空间变换对面积(二维)或体积(三维)的影响。行列式的值就表示变换后相对于原空间的拉伸或压缩比例。
此外,矩阵的其他性质(如对称性、秩等)也对应着空间变换的不同特征: - 对称矩阵意味着变换前后向量的内积保持不变; - 矩阵的“秩”表示该变换实际占用的空间维度,即用最少多少个线性无关向量就能完整描述所有输出。
总的来说,矩阵是一种工具,而“空间变换”只是其中一种理解方式。换个角度,也可以把它看作是一组向量之间的关系。不同理解方式适用于不同场景,比如注意力机制中就会有第三种理解方式。
回到AI模型本身,神经网络中的隐藏层其实就是在进行空间变换。隐藏层神经元的数量决定了变换后的空间维度——比输入多是升维,少则是降维。
有了这些基础认知,再去理解词嵌入、Transformer 中的注意力机制等内容,就会顺畅很多。
神经网络与矩阵运算的关系及非线性变换的重要性

神经网络的数学表达本质上是一系列矩阵运算,这也解释了为什么显卡(GPU)在训练神经网络时如此重要。因为显卡原本就是为处理3D图形中的空间计算设计的,而这些计算和神经网络中的矩阵操作非常相似。
不过,神经网络与纯矩阵运算还是有两个关键区别:
-
加入了偏置项(Bias):除了权重矩阵乘法(
),还加上了一个偏置项 b。从几何角度看,矩阵乘法相当于对空间进行旋转或拉伸,而加偏置则相当于对整个空间进行了平移。
-
引入了非线性激活函数:线性变换只能实现一一映射,而神经网络通过激活函数实现了非线性变换,从而能将复杂的数据结构压缩到更小的空间中。例如,在分类任务中,输入空间中大量代表“猫”的图像最终都会被映射到输出空间中的同一个点。
从这个角度看,神经网络不仅是在做空间变换,更是在学习如何通过非线性方式把数据“折叠”成更容易区分的形式。
关于神经网络的升维与降维,可以从隐藏层的角度理解: - 隐藏层中神经元的数量决定了变换后的空间维度; - 增加神经元数量,相当于将数据映射到更高维空间,使得原本线性不可分的数据变得可分; - 只要维度足够高,总能找到一个超平面来完成分类任务。
一个典型的神经网络结构包括输入层、隐藏层和输出层: - 输入层接收原始数据; - 隐藏层负责对数据进行升维或特征提取; - 输出层输出最终预测结果。
神经网络的本质是通过一系列带偏置和激活函数的矩阵运算,实现从输入空间到目标空间的非线性映射。
神经网络的维度变换与特征抽象
神经网络中除了输入层和输出层之外的部分统称为隐藏层。它的作用是让模型具备更强的表达能力。
如果仅从“升维”角度理解隐藏层会遇到问题:很多神经网络在隐藏层中反而逐步减少神经元数量,也就是降维了。那该怎么解释这种设计呢?
我们来想一个实际场景:输入可能是原始图像的像素点(高维),目标是判断情绪(低维)。虽然最终输出维度更低,但中间隐藏层的每个节点其实代表了对输入数据的抽象特征。
例如: - 第一层可能提取局部特征(如眼睛、嘴巴); - 第二层则组合这些特征,形成更高层次的语义(如“微笑”、“皱眉”); - 隐藏层越深,抽象程度越高。
这种分层抽象的好处是底层特征可复用。比如数字“8”的上下两个圆圈可以拆解为多个圆弧特征,这些特征也能被“6”、“5”等其他数字复用。
需要注意的是,神经网络自动学习的特征不一定符合人类直觉,但它们仍然能有效支撑最终判断。
进一步地,CNN 比全连接网络更适合特征复用,因为它不依赖位置信息,而是通过滑动窗口提取通用模式。
有了对升维、降维和特征抽象的理解后,我们就可以自然过渡到编码与解码的问题。
在NLP中,编码的过程就是把文本中的token先转换成独热编码,再通过矩阵乘法进行降维,映射到一个低维空间中。这个过程叫做嵌入(Embedding),也称作词嵌入(Word Embedding)。
这个低维空间(潜空间)剥离了语言的形式差异(如发音、写法),只保留纯粹的语义关系。不同语言(如中文和英文)可以通过各自词汇表分别嵌入到独立的浅空间,再通过融合算法统一起来;也可以一开始就共享词汇表,训练出一个统一的语义空间。
无论是哪种方式,只要获得了两个语言共享的语义空间,就可以实现翻译:先把中文编码进这个空间,再从该空间解码成英文,就能保证语义一致。
实际上,编解码的本质是将复杂对象转化为便于处理的中间表示,就像“曹冲称象”——大象不好称重,就换成石头来操作。
这样一来,在这个中间空间里的一切操作都变成了纯粹的数学计算,大大简化了任务难度。
AI模型的语义空间与编码解码原理
通过前面的介绍,我们可以理解:编码与解码中的“码”或“潜空间”,其实代表了AI模型真正理解语义的能力。它不再像哲学家约翰·塞尔提出的“中文房间”那样——只是机械查表、模仿理解。
在“中文房间”中,系统没有真正的语义理解,只是根据输入查找输出。而现在的AI模型通过潜空间进行处理,这个空间是一个连续的、高维的语义表示空间。
一个 token 被嵌入成向量后,它的每一维都可能代表一个独立的语义特征。比如“苹果”这个词,可能在一个维度上表示“水果”,另一个维度表示“手机”,还有一个维度表示“甜味”等。虽然这些维度对人类来说不一定直观可解释,但它们构成了一个能被模型有效使用的语义表示。
这种表示方式类似于图像中的通道(如RGB):每个通道单独看可能不完整,但组合在一起就能表达完整的语义。词向量也可以通过矩阵运算进行升维或降维,就像CNN中使用1×1卷积核调整通道数一样。
相比“手册式”的映射,潜空间是连续的,这意味着即使遇到训练时未见过的内容,模型也能在空间中找到合理的位置,并生成合理的输出。而手册式的key-value映射是离散的、有限的,无法应对未知情况。
这也成为判断AI是否“理解”语言的一个重要标准:能否在没有见过的情况下生成合理内容。
那么,如何构建这样的潜空间?这就需要机器学习方法来实现从token到潜空间的映射。
谷歌2013年提出的 Word2Vec(包括 CBOW 和 Skip-gram 两种方法),就是其中一种经典方案。它的目标不是完成某个具体任务,而是训练出一个高质量的嵌入矩阵,用于将 token 映射到潜空间。这更像是“编词典”,而不是“培养作家”。
传统模型训练的目标是让模型输出正确结果;而 Word2Vec 的目标是让模型参数(嵌入矩阵)本身有意义。因此它不需要复杂的激活函数,计算也更高效。
以 CBOW 模型为例:
- 输入是一组上下文 token;
- 中间的 token 被隐藏;
- 模型的任务是通过上下文预测中间词;
- 预测误差通过反向传播更新嵌入矩阵;
- 最终得到的就是一个能捕捉语义关系的词向量空间。
这种方式让模型学会了 token 之间的语义联系,为后续各种NLP任务提供了强大的基础支持。
词向量模型原理及实现细节

我们来解释一下 CBOW 模型的基本原理:
为什么把上下文词向量加在一起,就能预测中间那个词?
其实可以类比高中物理中的“力的合成”:
-
上下文中已知的词向量看作是“分力”;
-
中间缺失的那个词向量就是这些分力的“合力”。
换句话说,一个词的语义可以从它的上下文中推断出来;反过来,有了这个词的语义,也应该能还原出它的上下文。
这正是 CBOW 的训练方式:输入上下文词,目标是预测中间词。模型通过不断调整嵌入矩阵,使得这种“合力关系”尽可能准确。
虽然它不能像人类一样完成精确的完形填空(比如“这是一个 ___ 苹果”),但这不是它的目的。它的目标是训练出一个高质量的嵌入空间,让语义相近的词在空间中也靠近。
你可以把它理解为“AI版词典”:
每个词都被其他词定义,就像词典中用其他词解释一个词。Word2Vec 训练出来的潜空间是语言环境的客观反映,不依赖作者意图。主观性体现在文本中词的选择和顺序,这部分则由后续的注意力机制去处理。

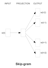
Skip-gram 是 CBOW 的反向版本:
输入一个词,目标是预测它的上下文词。两者都属于自监督学习方法,不需要人工标注数据,只要有文本就可以训练。
从数学上看,这个过程可以用两个矩阵表示:
理论上 W 和 W' 应该互为伪逆,只要一个训练好,另一个可以解析求解。但在实际实现中,它们通常作为两个独立矩阵分别训练,因为矩阵求逆计算复杂度高(O(n³)),而梯度下降更简单高效(O(n))。
另外,CBOW/Skip-gram 的隐藏层没有偏置项也没有激活函数,因为它本质上是在做线性变换——向量的合成与分解,不需要非线性操作。
这是标准的 Word2Vec 方法,它的核心是训练出一个“词典式”的嵌入矩阵 W,只捕捉单个词的语义 。如果想表达由多个词组成、具有准确含义的句子,这种模型就不够用了,就需要transformer了。
编码方式演变
One-Hot编码(独热编码)
在NLP的早期阶段,One-Hot编码是一种常用的词表示方法。 每个词被表示为一个长度为词汇表大小的向量,其中对应词的位置为1,其余位置为0。
例如,假设词汇表包含以下词汇:
| 词汇 | One-Hot 向量 |
|---|---|
| apple | [1, 0, 0, 0, 0] |
| banana | [0, 1, 0, 0, 0] |
| cherry | [0, 0, 1, 0, 0] |
| date | [0, 0, 0, 1, 0] |
| elder | [0, 0, 0, 0, 1] |
缺点:
基于共现矩阵的表示
为克服One-Hot编码的不足,研究者提出了共现矩阵的方法。通过统计词汇在一定窗口内的共现频率,构建词与词之间的关联矩阵。
示例: 假设有以下句子:
1 I like NLP.
2 I like deep learning.
3 I enjoy flying.
可以构建如下的共现矩阵:
| I | like | enjoy | NLP | deep | learning | flying | |
|---|---|---|---|---|---|---|---|
| I | 0 | 2 | 1 | 1 | 1 | 1 | 1 |
| like | 2 | 0 | 0 | 1 | 1 | 1 | 0 |
| enjoy | 1 | 0 | 0 | 0 | 0 | 0 | 1 |
| NLP | 1 | 1 | 0 | 0 | 0 | 0 | 0 |
| deep | 1 | 1 | 0 | 0 | 0 | 1 | 0 |
| learning | 1 | 1 | 0 | 0 | 1 | 0 | 0 |
| flying | 1 | 0 | 1 | 0 | 0 | 0 | 0 |
缺点:
Word2Vec
本质上是只具有一个隐含层的神经元网络,其余详细介绍上文讲过了。
输入是采用独热编码的词汇表向量,输出也是独热编码词汇表向量。
1.1.2.2.2 GloVe
GloVe通过对全局词共现矩阵进行矩阵分解,学习词的向量表示,能够更好地捕捉全局的语义信息。
FastText
FastText模型考虑了词的内部结构(如字符n-gram),能够处理未登录词和拼写错误的词汇,提升了模型的泛化能力。
ELMo
ELMo基于双向LSTM,通过预训练语言模型,为每个词生成上下文相关的向量表示,即同一个词在不同上下文中有不同的表示。
BERT
BERT基于Transformer架构,属于大语言模型(之后会详细介绍)。其采用双向编码器,能够更深入地理解上下文信息。
LLM中的词嵌入
嵌入层的实现
self.wte = nn.Embedding(config.vocab_size, slef.embed_dim)
# self.wte的作用是将输入的词(token)编号(整数)转换为一个固定维度的向量(即词向量)
# nn.Embedding(...)构建一个可学习的查找表 ,把离散的词 ID 映射成连续的向量空间中的词向量
# config.vocab_size,比如 vocab_size=10000,就表示这个模型最多支持 10000 个不同的词
# self.embed_dim每个词被映射成的向量的维度
词嵌入共享
在现在一些大模型架构中,会存在输出端重用输入端Embedding权重的做法(Tied Embeddings/Coupled Embeddings)具体来看GPT2代码中:
# from https://github.com/huggingface/transformers/blob/ee339bad01bf09266eba665c5f063f0ab7
class GPT2PreTrainedModel(PreTrainedModel):
"""
An abstract class to handle weights initialization and a simple interface for download
models.
用于处理权重初始化以及提供一个简单的下载模型的接口
"""
# 设置默认配置类为 GPT2Config,用于保存模型的超参数(如层数、头数、词向量维度等)
config_class = GPT2Config
# 指定一个函数,用于从 TensorFlow 格式的权重文件中加载模型参数。
# 这样就可以支持从原始 GPT-2 的 TensorFlow 权重转换为 PyTorch 使用。
load_tf_weights = load_tf_weights_in_gpt2
# 定义具体的 GPT-2 模型类,用于语言建模任务
# 继承自上面定义的 GPT2PreTrainedModel,具备权重初始化和加载预训练模型的能力。
class GPT2LMHeadModel(GPT2PreTrainedModel):
# 表示某些层的权重是“绑定”的(共享的),这里指定 lm_head.weight 和嵌入矩阵共享权重。
# 在 GPT-2 中,通常输出层(lm_head)与输入嵌入层(wte)共用同一个权重矩阵,节省内存并提升泛化能力。
_tied_weights_keys = ["lm_head.weight"]
# 构造函数,传入模型配置对象 config,其中包含所有模型参数(如 vocab_size、n_embd 等)。
def __init__(self, config):
# 调用父类 GPT2PreTrainedModel 的构造函数,进行基础设置和参数初始化。
super().__init__(config)
# 初始化 GPT-2 主干网络(Transformer 结构),负责上下文建模。
# 输入 token 会先经过这个模块得到每个位置的上下文表示。
self.transformer = GPT2Model(config)
self.lm_head = nn.Linear(config.n_embd, config.vocab_size, bias=False)
其主要原因是在gpt2时代,模型主干部分不大且词表很大时,Embedding层的参数量很大,如果输出端再新增一个独立的同样大小的权重矩阵的话,会导致显存消耗的激增。
具体实现上是输出端的embedding使用的输入端embedding的转置(伪逆)。
但是这样也会带来若干问题,具体可看这篇博文语言模型输出端共享Embedding的重新探索
所以一些大语言模型,例如llama2,使用的是单独的output embedding,参考模型config.json:
{
"architectures": [
"LlamaForCausalLM"
],
"bos_token_id": 1,
"eos_token_id": 2,
"hidden_act": "silu",
"hidden_size": 4096,
"initializer_range": 0.02,
"intermediate_size": 11008,
"max_position_embeddings": 4096,
"model_type": "llama",
"num_attention_heads": 32,
"num_hidden_layers": 32,
"num_key_value_heads": 32,
"pad_token_id": 0,
"pretraining_tp": 1,
"rms_norm_eps": 1e-05,
"rope_scaling": null,
"tie_word_embeddings": false,
"torch_dtype": "float16",
"transformers_version": "4.31.0.dev0",
"use_cache": true,
"vocab_size": 32000
}
这也是分辨模型是否共享权重最简单的方法,默认共享。
-
- W:将独热编码映射到潜空间(降维);
- W':将潜空间还原成输出(升维)。
- 高维稀疏性:随着词汇表的增大,向量维度也随之增加,导致数据稀疏,计算效率低下。
- 无法捕捉语义关系:不同词的One-Hot向量彼此正交,无法反映词与词之间的语义相似性。
- 共现矩阵也存在高维稀疏的问题,且无法捕捉有效复杂语义关系。
- 词嵌入层(wte):将离散的子词ID映射到连续向量
更多推荐


所有评论(0)