「DeepSeek-V3 技术解析」:多词元预测技术(Multi-Token Prediction, MTP)
此外,该技术可与推测解码(speculative decoding)结合,在推理时,MTP module 并行生成草稿词元,main model 通过单次前向传播验证并修正,凭借 85%-90% 的高接受率实现 1.8 倍的推理加速。在文献 [2] 中,作者尝试通过 MTP 技术预测未来的 2 个词元(token),并将其与推测解码相结合,结果发现第二个词元预测的接受率约为 85%~90%,这表明
编者按: 在实时人工智能应用场景中,大语言模型的推理速度直接影响用户体验。传统模型通过逐词元预测(next-token prediction)生成文本,每次仅预测一个词元的方式导致长文本生成耗时较长。这种延迟在对话系统和内容创作平台中尤为明显,已成为阻碍用户沉浸体验的主要障碍。
本文深入探讨了 DeepSeek-V3 模型的多词元预测技术(Multi-Token Prediction, MTP)。与现有方法(如独立预测多个词元导致逻辑断裂)不同,DeepSeek 创新性地通过模块间的表征依赖关系,在训练时保持词元预测的完整因果链,从而生成高质量连贯文本。此外,该技术可与推测解码(speculative decoding)结合,在推理时,MTP module 并行生成草稿词元,main model 通过单次前向传播验证并修正,凭借 85%-90% 的高接受率实现 1.8 倍的推理加速。
作者 | Shirley Li
编译 | 岳扬
这是 DeepSeek-V3 系列的第四篇文章,将解释 DeepSeek [1,2]模型的最后一个重要架构创新:多词元预测(multi-token prediction)。
在前几篇文章中,我们阐述了 DeepSeek 如何通过巧妙的设计,在矛盾的优化目标之间找到折中方案,既不过度偏向某一目标,又能保持整体效果:
- 多头潜在注意力(Multi-head Latent Attention)在解码过程中优化内存效率,同时保持模型性能。
- DeepSeekMoE 在混合专家模型(MoE)架构中平衡 knowledge sharing 与 expert specialization。
- 无辅助损失函数的负载均衡(Auxiliary-Loss-Free Load Balancing)在不影响主要训练目标的情况下实现有效的负载均衡。
本文将探讨 DeepSeek 如何在文本生成的效率与质量之间实现又一重要平衡。
本文目录:
- 技术背景:介绍大语言模型解码过程的基本原理,特别是 next-token prediction 机制及其局限性。同时回顾多词元预测(MTP)的相关研究,探讨其设计选择与优劣。
- DeepSeek 的多词元预测:解释其工作原理,并重点讨论与先前研究不同的设计选择。此外还将介绍如何将 DeepSeek 的 MTP 策略与推测解码(speculative decoding)结合以加快推理速度。
- 评估:分析 MTP 对训练性能和推理效率的双重影响。
- 总结
- 参考文献
01 技术背景
要理解 DeepSeek 的多词元预测(multi-token prediction),我们首先需要仔细了解大语言模型(LLMs)如何生成文本。
1.1 Next-Token Prediction
LLMs 通常通过自回归(autoregressive)的方式生成文本,即在给定历史 tokens 序列的前提下,通过逐 token 预测下一个最可能的 token 来生成文本。
例如,给定文本 “The cat sat”,其分词结果可能为:
"The cat sat"->["The","cat","sat"]
每个 token 都有一个与它在词汇表中的索引相对应的 token id,并将通过该索引在嵌入矩阵(embedding matrix)中查询对应的稠密向量,并与位置编码(positional encoding)相加后输入模型:
Emb("The") = vector("The") + PositionalEncoding(1)
Emb("cat") = vector("cat") + PositionalEncoding(2)
Emb("sat") = vector("sat") + PositionalEncoding(3)
经过 LLM 的 Transformer 层处理后,最后一层通过线性投影将嵌入向量映射回词汇表空间,再通过 Softmax 输出词汇的概率分布。以上述简单示例为例,最高概率的 token 可能是:
P("on") = 0.7
P("under") = 0.3
...
因此,模型会选择最有可能的 token “on”,生成结果变为:
"The cat sat on"
这一逐词元生成的过程将持续至达到最大生成长度或遇到终止符(EOS)为止。 由于每一步仅生成单个 token,该机制被称为 next-token prediction,其定义为:
其中:
- t 表示第 t 个时间步
- x_{t:1} 表示历史词元序列 x_1 至 x_t3
- x_{t+1} 是未来的下一个词元(token)
从建模的角度看,Next-token prediction 似乎很自然,但存在以下局限:
- 无法并行化:需按序列逐词元处理,无法并行计算。
- 计算效率低:每次预测都需要一次完整的前向传播,导致训练和推理效率低下(尤其是实时长文本生成场景)。
为解决这些问题,多词元预测(multi-token prediction) 应运而生。
1.2 先前的多词元预测方法
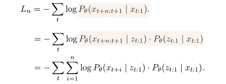
在文献[3]中,作者将 next-token prediction 扩展为一种多词元预测机制:

其中,给定相同的输入序列,模型将通过单次前向传播生成从 x_{t+1} 到 x_{t+n} 的 n 个 tokens。
请注意,这并不意味着在单个 Softmax 输出的概率分布上同时选择 n 个 tokens,因为 Softmax 不支持从单个概率分布中同时选择多个 tokens。
这是因为 Softmax 是为分类分布(categorical distributions)设计的,其建模的是多个互斥选项中单个离散事件的概率。因此,Softmax 在每个时间步(time step)只能生成单个 token,要预测多个 tokens 需要多个 Softmax 层,每层专门负责生成独立的 token。
因此,上述多词元预测的损失函数将首先被分解为多个单词元(token)预测操作头,然后每个单词元(token)预测头会运行独立的 Softmax 来选择对应词元。
更具体地说,我们引入了中间潜在表征(intermediate latent representation)z_{t:1} 来表示大语言模型中的隐藏表征,如下列公式所示:

作者根据文献 [3] 中的公式创建的图像
这种方式将输入序列 x_{t:1} 与输出序列解耦,使模型能够通过单次前向传播将 x_{t:1} 编码为 z_{t:1},并在后续所有生成过程中重复使用该表征。
随后,x_{t+n:t+1} 与 z_{t:1} 之间的条件概率会被进一步分解为 n 个独立的单步条件概率(如用蓝色标注的内容所示),每个条件概率代表一个单词元生成步骤:

作者根据文献 [3] 中的公式创建的图像
在文献[3]中,这一过程通过以下公式实现:

作者根据文献 [3] 中的公式创建的图像
其架构如下图所示,包含:
- 一个共享的 Transformer f_s,通过单次前向传播将 x_{t:1} 编码为 z_{t:1}。
- n 个独立的输出头 f_{h_i} (以 Transformer 层实现),将中间隐藏表征 z_{t:1} 映射到 x_{t+i}。特别是,第一个头(当 i==1 时)的输出可视为下一词元预测头。
- 一个共享的解嵌入矩阵 f_u,用于将 x 映射到词表大小的维度,最后通过应用 Softmax 获得各个词元的概率。

图 1. 文献[3]中的多词元预测架构。该图来自文献[3]
现在,让我们来深入了解这一架构,特别是共享组件与独立组件背后的设计考量:
- 共享的 f_s:如前文所述,这种方式只需单次前向传播即可获得 z_{t:1},从而生成 n 个词元,相比传统的 next-token prediction 具有更高的计算效率。
- 共享的解嵌入矩阵 f_u:由于解嵌入矩阵非常大,维度数量为 d×V(d 为隐藏层维度,V 为词表大小,通常为 5 万~ 20 万),共享参数能大大减少参数量且对性能的影响有限。
- 独立的输出头:这是这一架构中唯一独立的部分。 如前文所述,每个词元都需要一个独立 Softmax,因此无法共享所有组件。
使用独立的输出头能够使得 n 个词元的生成过程相互解耦。一方面,这种设计支持并行生成词元,可以提升训练效率;但另一方面,独立生成词元可能导致输出缺乏连贯性或一致性。此外,模型可能会出现模式奔溃(mode collapse),倾向于生成通用的、高频的词汇,而非细致的响应,从而降低输出的多样性和丰富性。
在下一节,我们将看到 DeepSeek 的多词元预测技术如何解决这个问题。
02 DeepSeek 的多词元预测技术
如前文所述,文献[3]中的多词元预测方法会独立生成 n 个词元,可能导致输出不连贯甚至模式崩溃(mode collapse)。 为了解决这个问题,DeepSeek 通过保持每个词元预测的完整因果链来实现多词元预测,如下图所示:

图 2. DeepSeek 中的多词元预测架构。图片来自文献[2]
上图展示了三个生成步骤,分别称为 main model、MTP module 1 和 MTP module 2。
main model 的架构与我们在文献[3]中看到的架构高度相似,同样包含三个核心组件:
- 一个共享的嵌入层(embedding layer)
- 一个独立的 Transformer block
- 一个共享的线性输出头(shared linear output head) ,其功能类似于文献[3]中的解嵌入矩阵(unembedding matrix)
但从 MTP module 1 开始,差异就变得明显了:因为 Transformer block 的输入依赖于前一个词元的表征。
更具体地说,第 i 个 token 的 Transformer 输入如下:

其中:
- k 是 MTP module 的索引。
- h^{k-1}_{i} 是来自上一步的表征。
- Emb(t_{i+k}) 是第 (i+k) 个词元(token)的嵌入层输出。
- RMSNorm 算子对两个表征向量进行归一化处理,使它们的数值更具可比性,并允许将它们拼接起来。随后通过拼接算子[·;·]生成 2d 维度的表征。
- 最终通过线性投影矩阵 M_k 将维度从 2d 映射回 d,供 Transformer block 使用。
在 MTP modules 间引入依赖关系破坏了文献[3]中的并行性,但也使文本生成更加连贯,更适合对话和推理等场景。
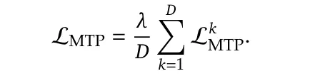
DeepSeek 模型中,多词元预测主要用于训练阶段,每个 MTP module 均应用交叉熵损失函数,如下图所示:

其中 t_{i} 表示第 i 个位置的真实词元(ground-truth token),而 p^{k}_{i}[t_i] 则是第 k 个 MTP module 对 t_i 的预测概率。
然后,所有 MTP module 的损失值会被整合为一个额外附加的训练目标:

在推理阶段,所有 MTP module 都会被丢弃,仅保留 main model 进行词元预测。但文献[2]的作者也提到他们的 MTP 技术可与推测解码(speculative decoding)结合,以加快推理速度。
那么,这是如何实现的呢?
2.1 推测解码(speculative decoding)
推测解码(speculative decoding)是一种通过先打草稿后验证的范式加速自回归生成过程的技术[4, 5]:首先并行生成多个候选词元,然后用原始自回归(AR)模型验证或修正这些词元,如下图所示:

图 3. 推测解码技术的先打草稿后验证流程。图片来自文献[5]
具体而言,推测解码包含两个阶段:
- 并行生成草稿(Parallel drafting) :不再使用原始 AR 模型逐词元(token)生成,而是通过推测解码并行生成候选词元。
- 批量进行验证(Batch verification) :通过单次前向传播,用原始 AR 模型验证草稿词元,并根据需要接受或修正它们。
由于草稿词元可能被接受,也可能被拒绝,因此实际的加速效果主要取决于接受率:
- 理想情况下,所有草稿词元(K 个)均被接受,模型可通过单次前向传播前进 K 步,实现 K 倍加速。
- 如果部分草稿词元被拒绝,生成过程仍然可以从部分加速效果中收益,因为仅需重新生成被拒绝的词元,而非整个序列。
换言之,更高的接受率可带来更明显的加速效果。下一节我们将深入探讨 DeepSeek 如何在推理中应用此技术。
03 Evaluation
在文献[2]中,作者评估了其多词元预测策略对训练和推理阶段的影响。
3.1 训练性能影响
为验证多词元预测策略是否能提升模型训练效果,文献[2]的作者在两个不同规模的 MoE 模型上进行了实验:
- 15.7B 的较小规模模型(激活参数 2.4B,下表中用蓝色标注)
- 228.7B 的较大规模模型(激活参数 20.9B,下表中用绿色标注)

图 4. 多词元预测对训练性能的影响。作者基于文献[2]中的表格绘制
在这两种模型上,作者对比了原始模型与添加 MTP module 的变体模型的性能(其余配置保持一致)。在本实验中,MTP module 在推理时被完全丢弃,因此推理时间无差异。
根据上表结果,两种规模的模型加入 MTP module 后,在多项任务上均表现更优,证明了该策略的有效性。
3.2 推理效率影响
如前文所述,MTP module 在推理阶段可与推测解码(speculative decoding)结合,以加速推理过程,而非在推理时完全丢弃它们。
在文献 [2] 中,作者尝试通过 MTP 技术预测未来的 2 个词元(token),并将其与推测解码相结合,结果发现第二个词元预测的接受率约为 85%~90%,这表明其 MTP 策略的生成质量稳定可靠。
更重要的是,凭借高接受率,MTP 与推测解码相结合可实现每秒生成词元数(TPS)1.8 倍的推理加速。
04 Summary
本文探讨了 DeepSeek 的另一项关键架构创新——多词元预测(multi-token prediction),解析其如何在文本生成中平衡生成效率与生成质量。
MTP 和以下这些架构创新共同构成了 DeepSeek 模型的基础,使其既高效又强大:
- 多头潜在注意力(Multi-head Latent Attention)在解码过程中优化内存效率,同时保持模型性能。
- DeepSeekMoE 在混合专家模型(MoE)架构中平衡 knowledge sharing 与 expert specialization。
- 无辅助损失函数的负载均衡(Auxiliary-Loss-Free Load Balancing)在不影响主要训练目标的情况下实现有效的负载均衡。
核心启示:
- 大语言模型的训练仍存在诸多未决问题,新技术的引入常伴随非预期的副作用
- 要应对这些挑战,既需要对现象进行透彻分析,也需要对内部机制有深刻理解。
- 解决方案不必复杂 —— 简单的策略有时能带来惊人的效果
至此,我们已完成对 DeepSeek 架构创新的探讨。下一篇文章将深入其训练策略,解析预训练、微调与对齐阶段的关键设计选择。
参考文献
[1] DeepSeek(https://www.deepseek.com/)
[2] DeepSeek-V3 Technical Report(https://github.com/deepseek-ai/DeepSeek-V3/blob/main/DeepSeek_V3.pdf)
[3] Better & Faster Large Language Models via Multi-token Prediction(https://arxiv.org/abs/2404.19737)
[4] Fast Inference from Transformers via Speculative Decoding(https://arxiv.org/pdf/2211.17192)
[5] Speculative Decoding: Exploiting Speculative Execution for Accelerating Seq2seq Generation(https://arxiv.org/pdf/2203.16487)
Thanks for reading!
Hope you have enjoyed and learned new things from this blog!
About the author
Shirley Li
I am a Machine Learning Engineer working on building multi-modality models to solve real-world problems.
END
本期互动内容 🍻
❓你在使用 AI 工具时,最在意的是响应速度还是输出质量?为什么?
原文链接:
https://medium.com/data-science-collective/deepseek-explained-4-multi-token-prediction-33f11fe2b868
更多推荐



所有评论(0)