DeepSeek-R1模型架构解析:从上下文长度到多令牌预测
DeepSeek-R1的输入上下文长度为128K。它从其基础模型DeepSeek-V3-Base继承了这一128K的上下文长度。最初,DeepSeek-V3使用4K上下文长度进行预训练。随后,借助YaRN技术,通过两阶段的上下文长度扩展,先将其提升到32K,再进一步提升到128K。YaRN(Yet another RoPE extensioN method)是一种用于有效扩展使用旋转位置嵌入(Ro
1、 输入上下文长度
DeepSeek-R1的输入上下文长度为128K。它从其基础模型DeepSeek-V3-Base继承了这一128K的上下文长度。最初,DeepSeek-V3使用4K上下文长度进行预训练。随后,借助YaRN技术,通过两阶段的上下文长度扩展,先将其提升到32K,再进一步提升到128K。
YaRN(Yet another RoPE extensioN method)是一种用于有效扩展使用旋转位置嵌入(RoPE)的大型语言模型(LLM)上下文窗口的技术。RoPE利用旋转矩阵对位置信息进行编码,而YaRN则对这些旋转频率的缩放方式进行了修改。它并非简单地推断频率(这种方式往往会导致性能下降),而是通过平滑地插值和调整频率,使得模型能够更好地泛化到更长的上下文。这种技术在计算上高效,并且无需大量重新训练即可扩展模型的上下文长度。
2、 总层数


DeepSeek-R1由一个嵌入层、61个Transformer层以及输出阶段的多个预测头构成。
DeepSeek-R1在所有Transformer层中采用多头潜在注意力(MLA)层,而非标准的多头注意力。前三个Transformer层与其余层有所不同,使用标准的前馈网络(FFN)层。从第4层到第61层,则由专家混合(MoE)层取代了FFN层。后续部分将深入探讨MLA和MoE的详细信息。
DeepSeek-V3运用多标记预测(MTP)技术,通过其最后两个预测头来预测接下来的2个标记。第二个预测Token的接受率在85%到90%之间,这表明在各种生成主题中该模型都具有较高的可靠性。DeepSeek-R1(DeepSeek-V3)总共包含6710亿个参数,其中每个令牌激活了370亿个。
3、 前3个DeepSeek-R1层
前3层由多头潜在注意力(MLA)和一个标准FFN层组成。由于FFN层未被相对稀疏的MoE层取代,这些层通常被称为“密集LLM层”。

Transformer Layers in DeepSeek-R1
4、DeepSeek-R1的第4层到第61层
这些层由MLA和MoE层构成。在后续部分,我们将深入了解MLA和MoE层的原理及其工作方式。

MoE Transformer Layer
5、 多头潜在注意力(MLA)
MLA最早在DeepSeek-V2中被引入,并沿用到了DeepSeek-V3和DeepSeek-R1中。
为什么要开发MLA呢?下面这段话来自DeepSeek-V2的论文或技术报告,清晰地阐述了开发MLA的原因:“传统的Transformer模型通常采用多头注意力(MHA),但在生成过程中,其庞大的键值(KV)缓存会成为限制推理效率的瓶颈。为了减少KV缓存,人们提出了多查询注意力(MQA)和分组查询注意力(GQA)。它们所需的KV缓存规模较小,但性能却不及MHA。”
“对于DeepSeek-V2,我们设计了一种创新的注意力机制——多头潜在注意力(MLA)。MLA配备了低秩键值联合压缩技术,不仅性能优于MHA,而且所需的KV缓存量显著减少。”
MLA是如何通过减少KV缓存来加快推理速度的呢?“MLA的核心在于对注意力键和值进行低秩联合压缩,以减少推理过程中的键值(KV)缓存。”——DeepSeek-V2

下面让我们逐步解析这个图表:
- 第1步:Q、K和V的下投影MLA层的输入是 。为便于理解,假设 的形状为 (input_sequence_length×2000)。在传统的Transformer层中,权重矩阵用于将 投影到查询(Q)、键(K)和值(V)表示形式中,且Q、K、V通常与输入保持相同的隐藏维度,即形状为 (input_sequence_length×2000)。

然而,在具有多头潜在注意力(MLA)的Transformer层中,权重矩阵生成的Q、K和V的维度相较于输入要小得多。例如,如果输入 的形状为 (sequence length × 2000),那么生成的Q、K和V的形状可能为 (sequence length × 100)。
在实际实现过程中,为了在GPU上提高计算和内存效率,Q、K和V的权重矩阵通常会被融合。在MLA中,K和V的生成遵循这一原则,具体来说,会使用一个表示为的单个权重矩阵,其中的“D”代表向下投影权重矩阵,体现了其在降低维度以实现高效注意力计算方面的作用。
此投影的输出是一个包含K和V的串联表示,通过简单的切片机制就能轻松提取。最终输出的形状为 (sequence length × 200),其中前 (sequence length × 100) 对应K,其余 (sequence length × 100) 对应V。压缩后的K和V输出在推理时会被缓存,大大减少了KV缓存的内存占用。类似地,Q在MLA中也会被压缩,结果形状为 (序列长度 × 100)。
- 第2步:Q、K和V的上投影压缩后的Q、K和V会被上投影回更大的尺寸,以便进行注意力计算。这个更大的尺寸可以与原始输入 一致,也可以基于注意力头的配置来确定结构。

例如,向上投影的形状可以是:(sequence length×2000),与输入大小匹配;或者(sequence length×3200),其中3200源自64×50(有64个关注头,每个头50个维度) 。

Q、K和V的上投影通过专用权重矩阵来实现:用进行K的上投影;用进行V的上投影;用进行Q的上投影 。这里的“U”代表向上投影,意味着将压缩后的表示扩展回更大的维度空间,用于注意力计算。
需要注意的是,每个注意力头的输入维度会进行调整,以适配旋转位置嵌入(RoPE),这一点在后续部分会更加明晰。
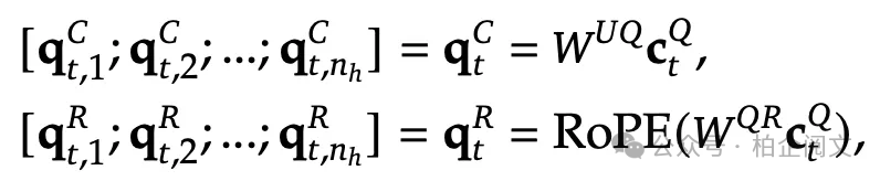
- 第3步:在Q和K中嵌入RoPE以编码位置信息这一步用于计算RoPE嵌入,从而对位置信息进行编码。

为了融入位置信息,DeepSeek-V2(DeepSeek-V3和DeepSeek-R1也沿用了此方法)采用了解耦的RoPE方式。这需要创建专门用于携带位置信息的额外查询(Q)和键(K)向量,然后将这些RoPE增强的Q和K向量与上投影的Q和K向量连接起来。
这在MLA中是较为复杂的部分,下面以从DeepSeek技术报告中理解的方式来解释:在传统的Transformer层中,RoPE操作直接应用于Q和K,它不会改变Q和K的维度,但会改变其中的语义表示(Q和K中的数值),以此对位置信息进行编码,所以最终的Q和K同时包含语义和位置信息。

而在具有MLA的Transformer层中,RoPE被应用于单独新生成的查询(Q)和键(K)嵌入,并与上投影的Q和K连接。
- 步骤3.1:为Q生成RoPE嵌入传统上,RoPE(Rotary Positional Embeddings)会根据查询(Q)和键(K)向量在序列中的位置,将旋转矩阵应用于它们,这种转换直接在Q和K中对相对位置信息进行编码,无需像正弦或绝对编码那样的显式位置嵌入。


但在MLA中,并非将RoPE应用于上投影的Q(),而是从生成新的Q嵌入(),并对其应用RoPE。通过将与权重矩阵相乘,生成完全独立的查询嵌入,这些新的独立查询嵌入经过RoPE转换,得到位置编码的查询嵌入() 。生成是为了能将其连接到每个注意力头的输入查询嵌入中,使每个注意力头都包含位置信息。(从公式来看,这个说法似乎正确,但还需进一步验证。)
- 步骤3.2:为K生成RoPE嵌入

类似地,在为K生成RoPE嵌入时,不是将RoPE应用于上投影的K,而是生成新的K嵌入并应用RoPE。但与RoPE嵌入式有两个关键区别:新的K嵌入是从(输入嵌入)生成,而非向下投影的K();相同的RoPE嵌入K(键)会连接到每个注意力头的输入,而对于Q(查询),则是计算单独的RoPE嵌入并连接到每个注意力头。(从公式来看,这种说法似乎正确,但还需进一步验证。)
为什么不从(上投影的K)生成呢?DeepSeek-V2报告中的解释是:“如果我们对键应用RoPE,将与位置敏感的RoPE矩阵耦合。这样一来,在推理过程中,就无法再被吸收到中,因为与当前生成的标记相关的RoPE矩阵会位于和之间,而矩阵乘法不满足交换律。”



因此,为了提高推理效率,位置嵌入的K(键)嵌入是从输入嵌入生成的。
在MLA中引入额外的权重矩阵,会不会导致内存和计算效率低下呢?为解决这些问题,DeepSeek-V2报告中提到:“此外,在推理过程中,由于可以被吸收到中,也可以被吸收,我们甚至无需计算用于注意力的键和值。”
为进一步降低内存消耗,报告还指出:“而且,为了减少训练时的激活内存,我们还对查询进行低秩压缩,即使这无法减少KV缓存。”
- 第4步:计算Attention输出

串联过程会增加Q和K向量的维数。为处理这一增加的维度,模型有两种选择:
-
增加Attention Head的数量:这样可以保持原始的每个头的维度,但需要更多的计算资源。
-
调整每个头的维度:保持头数不变,增加每个头的维数以适应串联后的向量。

注意力输出通过以下标准注意力方程计算:是注意力分数,是注意力输出,表示输出投影权重矩阵。输出会被投影回与输入相同的维度(例如,在我们的例子中,形状将为input_sequence_length x 2000)。
6、专家混合(MoE)
为了深入理解MoE,首先让我们明确它在Transformer中的具体应用位置以及其简要架构。在标准Transformer层中,FFN被MoE所取代。

MoE的核心遵循标准Transformer设计,但对前馈层进行了修改,引入多个并行的专家网络(FFN),而非单个密集的FFN。其工作原理如下:
-
多个FFN而非一个FFN:MoE使用多个并行训练的FFN层(专家),而非单个共享的FFN。
-
输入处理和令牌路由:每个token像往常一样经过Transformer自注意力层,之后不是由单个FFN处理,而是被发送到一个路由器,由路由器决定由哪些专家来处理它。
-
通过路由器选择专家:一个小型的可训练路由器负责确定处理每个token的专家子集(FFN)。通常,为保证效率,每个token仅选择1或2个专家(例如,采用top-1或top-2门控)。DeepSeek-V3(DeepSeek-R1)使用9个专家,其中1个是共享专家,另外8个是路由专家。选择过程通常基于softmax评分机制,路由器为每个专家分配概率。特别地,在DeepSeek-V3(DeepSeek-R1)中,使用Sigmoid替代softmax。
-
专家的稀疏计算:只有选定的专家处理token,其他专家保持不活动状态。专家输出通过加权求和进行组合,然后传递到下一个Transformer层。在DeepSeek-V3/R1中,权重是标准化的sigmoid输出。这种稀疏激活确保在任何时刻仅使用模型的一小部分,使计算易于管理 。
为什么要用MoE替代单个FFN呢?
-
可扩展性:MoE允许模型在不线性增加计算量的情况下,通过增加更多参数进行扩展。
-
高效学习:专家们专注于数据的不同方面,从而提升模型的泛化能力。
-
节省计算资源:由于每个token仅使用部分专家,与相同规模的密集模型相比,MoE模型的运行成本更低。DeepSeek-V3/R1总共有6710亿个参数,每个Token仅激活370亿个。
MoE在DeepSeek-R1中是如何工作的呢?以下来自DeepSeek-V3技术报告的公式展示了每个MoE层中的计算过程。在DeepSeek系列模型中,MoE架构最早在DeepSeekMoE模型中被引入,目前已应用于DeepSeek-V2、DeepSeek-V3和DeepSeek-R1。

- 路由器计算:在DeepSeek-V3、DeepSeek-R1以及其他一些现代MoE模型中,代表一个经过学习得到的质心,它有助于将输入路由到合适的专家。与传统MoE架构中基于FFN的路由器计算门控分数不同,这种方法预先定义了一组可学习向量,每个向量对应一个专家。
关键思想是:每个专家都有一个关联的质心向量。我们不是将输入通过FFN来获取专家概率,而是通过点积计算与每个之间的相似度 。这个分数决定了某个专家对于给定输入的相关性。只有具有最高值的前K个专家会被激活进行处理。在sigmoid输出中添加一个偏置项,以实现无辅助损失的MoE负载均衡。输出值会使用选定的前K个值进行归一化。
- 专家计算:是MoE层的输入。公式中的第二项表示输入与共享专家相乘,在DeepSeek-R1中仅有1个共享专家,因此。第三项表示输入与活跃的单个专家相乘,在DeepSeek-R1中共有256个单个专家,但每个token仅激活8个,所以。每个活跃的单个专家都有与之相关的,用于计算第三项。

- 输出计算:代表MoE层的输出。是MoE层的输入,专家计算结果与输入相加,得到MoE层的输出。

7、 多令牌预测(MTP)
多令牌预测是语言建模中的一种先进方法。在这种方法里,模型不是一次只预测序列中的下一个单词,而是能够同时预测多个未来的令牌。通过让模型并行预测几个后续单词,该方法提高了学习效率,加速了文本生成。


Meta推出了一种多令牌预测架构,用于训练语言模型同时预测多个未来令牌,这提升了采样效率,加快了推理速度。基于这一概念,DeepSeek-V3融入了多令牌预测(MTP)目标,使模型能够一次性预测多个令牌。这种方法强化了训练信号,有助于更好地预先规划令牌表示,从而在复杂基准测试中提升性能。
DeepSeek-V3/R1与Meta的多令牌预测存在两个关键差异:“与Gloeckle等人(2024)[Meta Research]不同,他们使用独立的输出头并行预测D个额外的令牌,而我们则按顺序预测额外的令牌,并在每个预测深度保持完整的因果链。”——DeepSeek-V3
Meta的模型预测4个令牌,而DeepSeek-V3预测2个令牌。Meta模型的预测头相互独立,而DeepSeek-V3的预测头则是顺序连接的。
MTP在DeepSeek-R1中是如何工作的呢?让我们逐步解析相关图表: 在训练过程中,输入令牌(位于左下角)先经过嵌入层,然后传播通过所有的Transformer块/层。

第一个预测头(包含输出头)直接连接到主模型的最后一个Transformer层。输出头通常是一个前馈网络(FFN),其输出维度与模型的词汇表大小相匹配,负责预测序列中的下一个令牌。给定输入令牌t₁、t₂、t₃、t₄,它会预测t₂、t₃、t₄、t₅。不过在推理时,仅计算最后一个令牌t₅。
第二个预测头通过添加额外的可学习层扩展了这种方法。它获取主模型最后一个Transformer层的输出,应用RMSNorm进行归一化,并将其与输入嵌入连接起来。这些输入嵌入与主模型中使用的嵌入层相同。与第一个预测头不同,这个头从t₂而不是t₁开始处理输入令牌。然后,连接后的输出通过线性投影层投影到合适的嵌入大小,接着经过一个可学习的Transformer块/层进行进一步处理。在训练期间,这个头预测t₃到t₆,但在推理时,仅计算t₆ 。
类似地,第三个预测头从第二个预测头的Transformer块/层获取输入,并结合相应的输入嵌入(现在从t₃到t₆)。它遵循与前面预测头相同的结构,在训练期间预测t₄到t₇,但在推理时仅计算t₇。


每个预测头使用交叉熵计算损失。然后,这些损失会乘以一个因子λ进行加权,取它们的平均值作为最终损失值。
我的DeepSeek部署资料已打包好(自取↓)
https://pan.quark.cn/s/7e0fa45596e4
但如果你想知道这个工具为什么能“听懂人话”、写出代码 甚至预测市场趋势——答案就藏在大模型技术里!
❗️为什么你必须了解大模型?
1️⃣ 薪资爆炸:应届大模型工程师年薪40万起步,懂“Prompt调教”的带货主播收入翻3倍
2️⃣ 行业重构:金融、医疗、教育正在被AI重塑,不用大模型的公司3年内必淘汰
3️⃣ 零门槛上车:90%的进阶技巧不需写代码!会说话就能指挥AI
(附深度求索BOSS招聘信息)
⚠️警惕:当同事用DeepSeek 3小时干完你3天的工作时,淘汰倒计时就开始了。
那么,如何系统的去学习大模型LLM?
作为一名从业五年的资深大模型算法工程师,我经常会收到一些评论和私信,我是小白,学习大模型该从哪里入手呢?老师啊,我自学没有方向怎么办?老师,这个地方我不会啊。如果你也有类似的经历,一定要继续看下去!当然这些问题啊,也不是三言两语啊就能讲明白的。
所以我综合了大模型的所有知识点,给大家带来一套全网最全最细的大模型零基础教程。在做这套教程之前呢,我就曾放空大脑,以一个大模型小白的角度去重新解析它,采用基础知识和实战项目相结合的教学方式,历时3个月,终于完成了这样的课程,让你真正体会到什么是每一秒都在疯狂输出知识点。
篇幅有限,⚡️ 朋友们如果有需要全套 《2025全新制作的大模型全套资料》,扫码获取~
👉大模型学习指南+路线汇总👈
我们这套资料呢,会从基础篇、进阶篇和项目实战篇等三大方面来讲解。

👉①.基础篇👈
基础篇里面包括了Python快速入门、AI开发环境搭建及提示词工程,带你学习大模型核心原理、prompt使用技巧、Transformer架构和预训练、SFT、RLHF等一些基础概念,用最易懂的方式带你入门大模型。
👉②.进阶篇👈
接下来是进阶篇,你将掌握RAG、Agent、Langchain、大模型微调和私有化部署,学习如何构建外挂知识库并和自己的企业相结合,学习如何使用langchain框架提高开发效率和代码质量、学习如何选择合适的基座模型并进行数据集的收集预处理以及具体的模型微调等等。
👉③.实战篇👈
实战篇会手把手带着大家练习企业级的落地项目(已脱敏),比如RAG医疗问答系统、Agent智能电商客服系统、数字人项目实战、教育行业智能助教等等,从而帮助大家更好的应对大模型时代的挑战。
👉④.福利篇👈
最后呢,会给大家一个小福利,课程视频中的所有素材,有搭建AI开发环境资料包,还有学习计划表,几十上百G素材、电子书和课件等等,只要你能想到的素材,我这里几乎都有。我已经全部上传到CSDN,朋友们如果需要可以微信扫描下方CSDN官方认证二维码免费领取【保证100%免费】
相信我,这套大模型系统教程将会是全网最齐全 最易懂的小白专用课!!
更多推荐


所有评论(0)